🌟 SỰ KIỆN MEGA SALES 11.11 – ĐÃ CHÍNH THỨC KHỞI ĐỘNG!
30/10Xin chào các Kiện tướng của MLBB VN!
Sau thời gian dài chờ đợi, chuỗi sự kiện “Mega Sales” đã chính thức quay trở lại trong Mobile Legends: Bang Bang vào tháng 11 này.
Mega Sales
📅 Thời gian: 9/11 – 15/11/2025
⚡ Ưu đãi: Giảm 50% cho toàn bộ skin bán trong shop
💎 Nhận kim cương vàng khi hoàn thành nhiệm vụ từ ngày 20/10-9/11

11.11 Nexus Sea
📅 Thời gian: 3/11 – 3/12/2025
💎 Thể loại: Lucky Draw – Rút thưởng skin đặc biệt
⚡ Ưu đãi: Giảm 50% cho lượt Draw 1X đầu tiên mỗi ngày và lượt Draw 10X đầu tiên trong toàn sự kiện.

🎁 BẢO ĐẢM SKIN:
Trong 10 lượt rút đầu tiên, đảm bảo nhận 1 skin Special hoặc cao hơn
Sau mỗi 10 lượt rút, tiếp tục đảm bảo 1 skin Elite trở lên.
🔥 HƯỚNG DẪN SỰ KIỆN
Để sở hữu skin ưu đãi nhất, chúng ta cần tận dụng tối đa tài nguyên mà game có

Với sự kiện Hoàn Trả Nạp Hàng Ngày, có thể nhận tối đa 6 vé quay khi đủ các mốc.

Tiếp theo, sự kiện Gói Siêu Mở Thưởng, có 2 gói đáng mua là gói 10 và 49 kc, sẽ nhận được 2 vé quay và 2 con số may mắn có cơ hội nhận thưởng lớn

Sự kiện KCV:

Các đợt vé vào ngày 7/11 và 14/11:

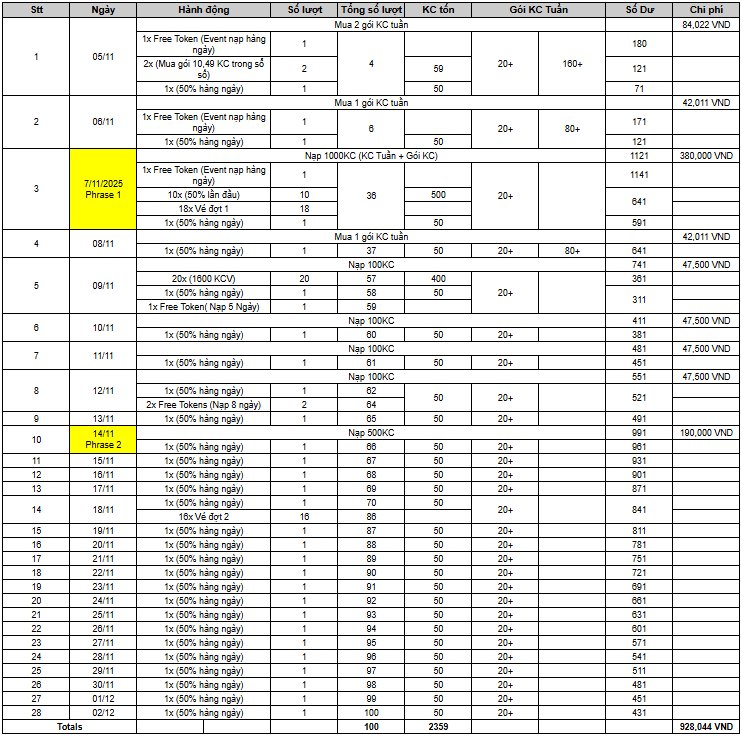
Với những tài nguyên sẵn có như vậy, chúng ta có thể dựa trên bảng sau để có thể sở hữu skin Layla Legend Nexus Sea Vũ Trụ Viễn Khúc một cách tối ưu

Ngoài Skin Layla, chúng ta có thể đổi được rất nhiều vật phẩm hấp dẫn khác

🔥ƯU ĐÃI ĐẶC BIỆT
Để phục vụ người chơi, Funtap ra mắt Flash sale
Flash sale : Ưu đãi giảm giá 10% gói kim cương tuần (Mỗi tài khoản tối đa 3 gói)
Chi tiết tại:🎊Flash Sales Tháng 11🎊 | Game Mobile Legend Bang Bang
Ngoài ra
👉Truy cập trang nạp chính thức để nhận ưu đãi tốt nhất: https://pay.funtap.vn/mobile-legends
Tặng thêm 20% giá trị nạp
Thanh toán an toàn, nhanh chóng
Nhận quà độc quyền từ Funtap










